Piestnicové pneumatické valce, základné pojmy
Zaradenie pneumatických valcov
Na začiatku tohto materiálu sme si povedali o jednotlivých častiach pneumatického systému/obvodu.
- Prípravníky vzduchu
- Riadiace ventily
- Prietokové ventily
- Výkonné časti, aktuátory, pneumatické valce
- Pneumatické hadičky, spojky
V tejto kapitole si bližšie povieme o pneumatických valcov, ako časti pneumatického systému vykonávajúcej prácu.
V pneumatike je pneumatický valec najdôležitejší výkonný prvok.
Pneumatický valec je takým zariadením, ktoré premieňa tlakovú energiu média na lineárny alebo rotačný pohyb.
Pneumatické valce vieme rozdeliť podľa rôznych aspektov:
- prevedenie
- piestnicové
- bezpiestnicové
- mechové
- membránové
- rotačné
- druh pohybu
- produkujúce lineárny pohyb
- produkujúce rotačný pohyb
- funkcia
- jednočinné
- dvojčinné
- polohová stabilita
- jedna stabilná poloha
- dve stabilné polohy
- tri alebo štyri stabilné polohy
- koncové tlmenie dojazdu
- nastaviteľné pneumatické tlmenie
- flexibilné tlmenie dojazdu
- bez tlmenia
Keďže ide o veľmi rozsiahlu tému, ďalej sa budeme venovať len najčastejšie používaným valcom a ich fungovaniu.
Piestnicové pneumatické valce
Fungovanie valcov je veľmi jednoduché, napriek tomu sa však rozšírili rôzne prevedenia od jednotlivých výrobcov. Vzhľadom na to, akú prácu v akom prostredí má valec vykonať, sú dostupné na trhu valce vyhovujúce rôznym normám, ako aj mimo noriem, resp. všetky disponujú aj ďalšími špeciálnymi prevedeniami.
Najčastejšie používané prevedenia sú:
- mini valec
- kruhový valec | ISO 6432
- normalizovaný valec | ISO 15552 | VDMA 24562
- kompaktný valec | ISO 21287 | UNITOP
- krátkozdvihový valec
- svorníkový valec | ISO 1555

Ohľadne prevedenia a fungovania valcov je potrebné si ujasniť nasledovné pojmy:
- konštrukcia valcov
- priemer a zdvih (výsuv)
- definícia pohybu
- funkcia
- symboly a označenie
- koncové tlmenie dojazdu
- magnetické snímanie polohy
- nastavenie rýchlosti chodu pneumatických valcov
Konštrukcia valcov
Vo všeobecnosti sa piestnicový valec skladá z tela, ktoré je z oboch strán uzavreté krytom. V tele sa pohybuje piest, ku ktorému je pripevnená piestnica (piestna tyč).
Pohyb piestu je riadený cestnými ventilmi pomocou stlačeného vzduchu podľa toho, ktorá časť valca (komora) je napájaná vzduchom. Prenos sily je sprostredkovaný piestnicou.
Piestnicové valce sa podľa vzniknutého pohybu radia do skupiny lineárnych pohonov, keďže piestnica – prenášajúca silu – vykonáva lineárny, priamočiary pohyb.

Priemer a zdvih (výsuv)
Piestnicové valce majú okrem konštrukcie dva podstatné parametre:
- priemer valca (čo je v podstate priemer piestu)
- zdvih (výsuv)
Napríklad (HAFNER valce typu HIF):
- HIF 40/320
- HIF | typ valca, jednoznačne definuje jeho prevedenie
(HIF = ISO 15552 normalizovaný dvojčinný valec, s nastaviteľným tlmením dojazdu, magnetickým snímaním polohy – uchytenie senzoru v drážke tela) - 40 | priemer valca (piestu) [mm]
- 320 | dĺžka zdvihu (výsuv) [mm]
- HIF | typ valca, jednoznačne definuje jeho prevedenie
Priemer valca je v podstate vnútorný priemer tela, v ktorom sa hýbe piest (niekedy v praxi sa používa aj priemer piestu). Tento parameter nám určuje silu tlaku bude valec schopný vyvinúť pri danom tlaku.
Zdvih je konštrukčný parameter, po tejto dráhe v danej dĺžke bude valec schopný vykonať pohyb.

Veľký zdvih podstatne zvyšuje zaťaženie a amortizáciu stierača a samotnej piestnice. Aby sme predišli ohnutiu, je potrebné zvýšiť priemer piestnice – výberom valcov s väčším priemerom, ktoré disponujú s piestnicami s väčším priemerom.
V prípade valcov s dlhými zdvihmi – podľa miery a smeru zaťaženia – je potrebné sa postarať o vhodné vedenie.
Priemery a zdvihy valcov sú normalizované, z ktorých najčastejšie sú:
Priemer [mm]:
| ø8 | ø10 | ø12 | ø16 | ø20 | ø25| ø32 | ø40 | ø50 | ø63 | ø80 | ø100 | ø125 | ø160 | ø200 | ø250 | ø320 |
Zdvih [mm]:
| 5 | 10 | 15 | 20 | 25 | 30 | 40| 50 | 60 | 80 | 100 | 125 | 160 | 200 | 250 | 320 | 400 | 500 | ...
Sila vyvinutá valcom závisí od tlaku stlačeného vzduchu, priemeru piestu, ako aj od trenia použitých tesnení.
Vypočítajme silu tlaku vyššie spomenutého valca HIF 40/320 pri tlaku 6 bar.
Priemer:
Vnútorný priemer tela valca je v podstate priemerom piestu:
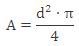
Plocha piestu:
Plocha kruhu, alebo plocha piestu o kruhovom priereze:
Vzorec s doplnenými údajmi:
Tlak:
Výpočet sily tlaku:
Podľa Pascalovho zákona:
S doplnenými údajmi:
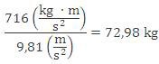
Táto hodnota predstavuje teoretickú silu. V praxi musíme počítať s 5%-nou stratou na korekciu trenia a iných strát.
Na základe toho vyvinie pneumatický valec o priemere 40 mm, pri tlaku 6 bar silu tlaku približne 716 N.

Ak silu tlaku vydelíme tiažovým zrýchlením (9,81 m/s2), vidíme, že valec vyvinie silu rovnajúcu sa tiaži približne 73 kg-vej hmoty.
POZOR! Touto silou – ktorú valec vyvinie – sa dá hmota iba udržať a nie zdvihnúť!
Ak dvíhame predmet rovnomerne, musíme pracovať proti sile gravitácie. Vo fyzickom zmysle hovoríme o práci, keď sa teleso pohybuje pod vplyvom sily. Pri zdvíhaní sa teleso pohybuje v smere sily, takže dochádza aj k výkonu práce.
Definícia pohybu valcov
Dve koncové polohy valcov nazývame pozitívna a negatívna poloha. Podľa toho aj dve komory valca nazývame plusová (pozitívna) a mínusová (negatívna) komora.

pozitívny pohyb

negatívny pohyb
Vysunutá piestnica je v pozitívnej koncovej polohe, lebo stlačený vzduch je vedený do plusovej komory.
V negatívnej koncovej polohe je piestnica v zasunutej koncovej polohe, lebo napájame mínusovú komoru.
Odvzdušnenie protiľahlej komory je predpokladom pohybu, aby stlačený vzduch z tejto komory mohol voľne prúdiť do priestoru.
Funkcia valcov
Z hľadiska funkcie valcov rozlišujeme jednočinné a dvojčinné valce.
U jednočinných valcov napájame stlačeným vzduchom iba jednu komoru. To znamená, že prácu pomocou stlačeného vzduchu vykonávajú iba jedným smerom. Do opačného smeru ich vracia pružina, alebo vonkajšie zaťaženie.
Konštrukčne sú tieto valce limitované pružinou a ich silou, preto majú zväčša tieto valce kratšie zdvihy.
Existujú dve varianty podľa umiestnenia pružiny – pred piestom alebo za piestom:
- jednočinný valec so zasunutou piestnicou (pružina sa nachádza pred piestom)
- jednočinný valec s vysunutou piestnicou (pružina sa nachádza za piestom)
V prípade dvojčinných valcov energia stlačeného vzduchu ovláda obe komory. Takéto valce sa používajú na miestach, kde je potrebné vykonať prácu oboma smermi, resp. je potrebný dlhší zdvih.
Vychádzajúc zo širokého spektra použitia, existuje aj mnoho prevedení:
dvojčinný valec (štandardné prevedenie)
dvojčinný valec s priebežnou piestnicou (piestnica je vyvedená cez kryty na oboch stranách)
dvojčinný valec zaistený proti pootočeniu (keď nie je povolené otočenie piestnice okolo vlastnej osi)
dvojčinný valec s vedením (odolné voči väčšiemu zaťaženiu a zároveň je týmto spôsobom aj zaistený proti pootočeniu)
valec s viacerými polohami (dva valce spojené proti sebe zadnými krytmi, pomocou čoho sa dá zrealizovať 3 alebo 4 rôzne pracovné zdvihy)
tandemové valce (dva alebo viac valcov spojených tak, že aj ich piestnica je spojená – týmto spôsobom navýšime plochu piestov, ktorú máme k dispozícii a tým pádom aj silu tlaku bez potreby zvyšovania priemeru valcov)
Označenie valcov symbolmi
POZOR! Symboly valcov udávajú funkciu a prevedenie valcov, ale neobsahuje informácie o type (či ide napríklad o normalizovaný, alebo kompaktný, či kruhový valec).







Pri symboloch sme sa stretli s výrazmi, s ktorými sa budeme zaoberať neskôr:
- Tlmenie dojazdu
- Magnetické snímanie polohy
- Cieľom tlmenia dojazdu je zníženie rýchlosti piestu ešte pred nárazom s krytom
- Na snímanie polohy piestu používame snímače na báze magnetizmu. Magnet zabudovaný do piestu valca je snímaný pomocou snímačov montovaných na telo valca (alebo do drážok), čím sa zabezpečí bezdotykové snímanie polohy piestu.
V nasledujúcej kapitole budeme pokračovať so znalosťami o pneumatických valcoch.
